mathtype公式保存为GIF格式不清晰怎么办?公式保存为gif格式不清晰解决方法
不知道大家有没有使用过mathtype里的公式保存选项,mathtype编辑的公式可以保存为很多种格式,例如web和GIF格式等,在保存的过程中是需要对一些参数进行设置的,如果设置不正确就会出现画像不清晰的情况,下面为大家分析了具体原因并提供了解决方法。
mathtype编辑公式保存为GIF格式不清晰怎么办?
GIF图片格式不包含信息点密度(每英寸像素),它是以特定的图像宽高比进行保存的。 那些允许用户手动指定GIF的ppi或者dpi(每英寸点数)的软件(包括MathType)通过增大图片的物理尺寸来解决这个问题,而因此图片所包含的像素数发生了改变。
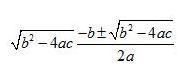
对比下面两个公式,这两个公式都是用MathType编辑的。

两种不同尺寸公式大小对比
很明显这两个公式的外观尺寸是不一样的。左边的大小是 46x41 pixels,右边的是145x129。有这种区别也不奇怪,你阅读这个网页的计算机上的屏幕点密度是很可能是72 PPI(默认为Mac)或96 PPI(默认为Windows)。移动端的位图密度可能会有所不同,但是两者的相对大小仍然会比较明显,右边的大概是左边的3倍大小。
那么怎样将图1的公式变成图2这样呢?具体操作如下:
1.在MathType公式编辑窗口,选择“选项”——“Web和GIF选项”。

MathType 编辑窗口中选择“选项”——“Web和GIF选项”
2.在“Web和GIF选项”窗口中,“位图分辨率”选择“其他”,数值设置为300,其余保持不变,编辑公式后进行保存即可出现右图的大小。

将MathType位图分辨率设置为300
由于GIF格式没有位图密度的信息(IOW,每英寸的像素点),所以只能通过模拟创建一个大图的过程来创建高分辨率的GIF图片。所以如果你将图2尺寸缩小到图1的46x41,就会是下面这种情况:

改变图2尺寸后对比
以上内容向大家介绍了MathType保存GIF格式像素变化的解决方法,MathType公式除了可以保存为GIF格式外,还可以保存多种格式,并且MathType应用的领域也很广泛
mathtype公式保存方法:
方法一 如果您使用的是Word在Word中调用MathType来输入公式,一定希望将公式直接插入到Word文档中。当编辑好公式之后,依次点击“文件”-“关闭并返回到文档”,具体操作人下图所示

以上操作完毕后出现如下图对话框,有三个按钮

点击“是”按钮,MathType编辑窗口关闭,公式将显示在文档中。
方法二 编辑好公式之后,依次点击“文件”-“更新文档”,操作如下图所示

此时在文档中就会显示如下图格式的公式,有阴影背景

关闭MathType编辑窗口,文档中的公式就会如下图显示,无阴影背景

方法三 编辑好公式之后,依次点击“文件”-“保存为副本”,具体操作见下图

出现如下图另存为对话框,选择存储目录和文件命名及保存类型

公式可以保存为图元文件等三种类型,可以根据自己的需求来选择保存的类型
总结:以上就是小编为大家提供的全部的内容了,大家是不是已经解决自己遇到的问题了呢?
《mathtype公式保存为GIF格式不清晰怎么办?公式保存为gif格式不清晰解决方法》阅读地址:http://www.qinpinchang.com/soft-7581.html
已有100+条评论,点击查看发表评论